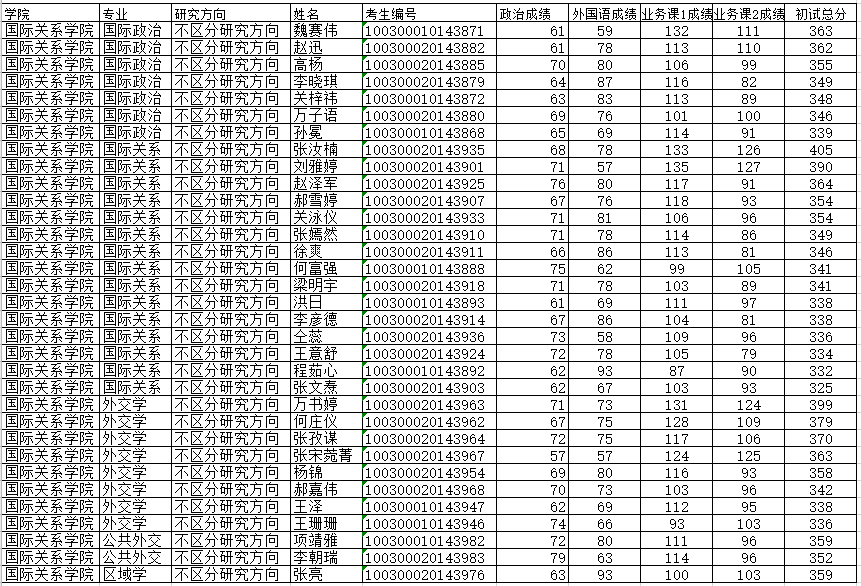
365best体育亚洲官网2020年硕士研究生入学考试复试名单

作者: 时间:2020-05-10 点击数:



Copyright @ 365best(中国区)-唯一官方网站版权所有. 地址:北京市海淀区西三环北路2号/19号    邮编:100089  Supported by BFSU ITC